產品介紹
所在位置:首頁 - 產品介紹
注射用頭孢曲松鈉說明書
本品不能加入哈特曼氏以及林格氏等含有鈣的溶液中使用。
警示
本品與含鈣劑或含鈣產品合并用藥有可能導致致死性結局的不良事件。請仔細閱讀說明書并在醫師指導下使用
【藥品名稱】 通用名稱:注射用頭孢曲松鈉
英文名稱:Ceftriaxone Sodium for Injection
漢語拼音:Zhusheyong Toubaoqusongna
【成 份】 本品主要成份為頭孢曲松鈉。
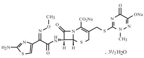
化學名稱為:(6R,7R)-7-[[(2Z)-(2-氨基噻唑-4-基)(甲氧基亞氨基)乙酰基]氨基]-3-[[(2-甲基-6-羥基-5-氧代-2,5-二氫-1,2,4-三嗪-3-基)硫基]甲基]-8-氧代-5-硫雜-1-氮雜雙環[4.2.0]辛-2-烯-2-羧酸二鈉鹽三倍半水合物。
化學結構式:

分子式:C18H16N8Na2O7S3·3 H2O
分子量:661.59
【性 狀】本品為白色或類白色結晶性粉末;無臭。
【適 應 癥】對本品敏感的致病菌引起的感染,如:膿毒血癥;腦膜炎;播散性萊姆病(早、晚期);腹部感染(腹膜炎、膽道及胃腸道感染);骨、關節、軟組織、皮膚及傷口感染;免疫機制低下患者之感染;腎臟及泌尿道感染;呼吸道感染,尤其是肺炎、耳鼻喉感染;生殖系統感染,包括淋病;術前預防感染。
【規 格】按C18H18N8O7S3計 (1)0.5g (2)1.0g
【用法用量】
標準劑量
成人及12歲以上兒童:本品的通常劑量是1~2克,每日一次(每24小時)。
危重病例或由中度敏感菌引起之感染,劑量可增至4克,每日一次。
新生兒、嬰兒及12歲以下兒童
建議按以下劑量每日使用一次。
新生兒(14天以下)每日劑量為按體重20~50毫克/千克,不超過50毫克/千克,頭孢曲松禁用于矯正胎齡不足41周(孕周+實際年齡)的早產兒(見【禁忌】)。新生兒(出生體重小于2千克者)的用藥安全尚未確定。有黃疸的新生兒或有黃疸嚴重傾向的新生兒應慎用或避免使用本品。
如果新生兒(≤28天)需要(或者預期需要)靜脈使用含鈣的溶液治療,包括連續滴注含鈣溶液(如胃腸外營養液),則需禁止使用頭孢曲松,因為有出現頭孢曲松-鈣沉積的風險(見【禁忌】)。
新生兒、嬰兒及兒童(15天至12歲)每日劑量按體重20~80毫克/千克。體重50千克或以上的兒童,應使用成人常規劑量。
靜脈用量按體重50毫克/千克以上時,嬰兒以及12歲以下兒童滴注時間至少要30分鐘以上。新生兒的靜脈用量輸液時間應當超過60分鐘,以降低發生膽紅素腦病的潛在風險。
老年患者
除非老年患者有重度腎功能和肝功能損傷時,老年患者應用頭孢曲松一般不需調整劑量。
療程
療程取決于病程。與一般抗菌素治療方案一樣,在發熱消退或得到細菌被清除的證據以后,應繼續使用本品至少48至72小時。
聯合用藥
在試驗條件下,本品與氨基糖苷類抗菌素對許多革蘭氏陰性桿菌的協同作用已被證實。雖然不總能預測出這種聯合用藥的增強作用,但對于像綠膿桿菌等所致的嚴重的,危及生命的感染,應當考慮聯合用藥。由于頭孢曲松與氨基糖苷類具有化學不相容性,故這兩種藥物在使用推薦劑量時應分開用藥。
亦觀察到在靜脈給藥時,頭孢曲松與安吖啶、萬古霉素和氟康唑具有化學不相容性。
特殊用藥指導腦膜炎:嬰兒及兒童細菌性腦膜炎,開始治療劑量每千克體重100毫克(不超過4克),每日一次,一旦確認了致病菌及藥敏試驗結果,則可酌情減量,以下療程已被證實是有效的:腦膜炎奈瑟氏菌 4天;流感嗜血桿菌 6天;肺炎鏈球菌 7天。萊姆病:兒童及成人按體重50毫克/千克,最大劑量2克,每日一次,共14天。淋病:治療淋病(產青霉素酶及不產青霉素酶菌株)本品的推薦劑量為肌肉注射250毫克單劑。術前預防性用藥:預防污染或非污染手術之術后感染,根據感染的危險程度,在術前30~90分鐘,注射本品1~2克單劑。對結直腸手術,以本品單獨使用或與5-硝基咪唑(如奧硝唑)聯合用藥(需分開使用,見【用法用量】)已被證實是有效的。腎功能損傷患者:腎功能損傷患者,如其肝功能未受損則無需減少本品用量,僅對末期前腎功能衰竭患者(肌酐清除率<10毫升/分鐘),每日本品用量不能超過2克。頭孢曲松不能通過腹膜透析或血液透析清除。正在接受透析治療的患者,無須在透析后另加劑量。肝功能損傷患者:肝功能損傷患者,如腎功能未受損則無需減少本品用量。重度肝、腎功能損傷患者:重度肝臟及腎臟功能損傷患者,建議進行臨床安全性和有效性監測。
用藥方法
新配制的溶液能在室溫下保持其物理及化學穩定性達6小時,或在2~8℃冰箱里保持24小時,但按一般原則,配制后的溶液應立即使用。依其濃度及保存時間的不同,溶液呈現為淡黃色到琥珀色。溶液顏色對藥物有效性或耐受性并無意義。
肌肉注射:本品0.25克或0.5克溶于1%鹽酸利多卡因2毫升中,1克溶于3.5毫升中用于肌肉注射,以注射于相對大些的肌肉為好,不主張在一處的肌肉內注射1克以上劑量。利多卡因溶液絕對不能用于靜脈注射(見【禁忌】)。
靜脈注射:本品0.25克或0.5克溶于5毫升滅菌注射用水中,1克溶于10毫升中用于靜脈注射,注射時間不能少于2~4分鐘。
靜脈滴注:靜脈滴注時間至少30分鐘,本品2克溶于40毫升或以上規格的下述其中一種無鈣靜脈注射液中如:0.9%氯化鈉溶液、0.45%氯化鈉+2.5%葡萄糖注射液、5%葡萄糖、10%葡萄糖、5%葡萄糖中加6%葡聚糖、6~10%羥乙基淀粉靜脈注射液、滅菌注射用水。由于可能會產生藥物間的不相容性,故不能將本品混合于含有其它抗菌藥物之溶液中或在輸注其它抗菌藥物溶液時加入其中。亦不能將其稀釋于以上列出的溶液之外的其他液體中。
【不良反應】
臨床試驗 頭孢曲松最常報告的不良反應為嗜酸粒細胞增多癥、白細胞減少癥、血小板減少癥、腹瀉、皮疹及肝酶升高。用于確定頭孢曲松的藥品不良反應頻率的數據源自臨床試驗。
對頻率分類采用以下慣例:非常常見(≥1/10)、常見(≥1/100~<1/10)、不常見(≥1/1000~<1/100)、罕見(≥1/10000~<1/1000)

上市后 在頭孢曲松上市后使用期間發現了下列不良反應。報告這些反應的人群數量不明,因此無法始終可靠地估計其發生頻率和/或確定其與藥物暴露之間的因果關系。
全身性副作用消化道反應:胰腺炎、口腔炎和舌炎。血液學檢查異常:曾經報道過粒細胞缺乏癥(<500/mm3)的孤立病例,其中多數都發生在治療10天后,且總劑量為20g以上。皮膚反應:曾經報道過急性泛發性發疹性膿包病(AGEP)和嚴重皮膚反應(多形性紅斑、Stevens Johnson綜合癥或 Lyell綜合癥/中毒性表皮壞死松懈癥)的獨立病例。神經系統病癥:驚厥。感染及侵染類疾病:雙重感染。
其他罕見副作用 膽囊癥狀性頭孢曲松鈣鹽沉積、核黃疸、少尿以及過敏性或過敏樣反應。
與鈣的相互作用 兩項體外研究對頭孢曲松與鈣的相互作用進行了評價,其中一項研究使用成年人血漿,另一項研究使用新生兒臍帶血漿。頭孢曲松的濃度最高為1mM(超過頭孢曲松2g體內輸注30分鐘以上得到的血藥濃度),鈣濃度最高為12mM(48mg/dL)。成人血漿中鈣濃度為6mM(24mg/dL)或更高時頭孢曲松的回收率降低,新生兒血漿中鈣濃度為4mM(16mg/dL)或更高時頭孢曲松的回收率降低。這表明可能有頭孢曲松-鈣沉淀物產生。
有報道在對少數死亡病例進行尸檢時,在使用本品和含鈣輸液的新生兒的肺和腎臟中觀察到一種晶體狀物質。其中有些病例使用同一根輸液管滴注本品和含鈣輸液,在一些病例的輸液管中看到了沉淀物。在不同時間經不同輸液管滴注本品和含鈣輸液的新生兒至少有一例死亡的報道;對這名新生兒進行尸檢未發現晶體狀物質。除了新生兒,在其他患者中未見類似報道(見【注意事項】)。
曾有頭孢曲松在尿道中沉積的病例報道,多見于接受大劑量(如每天≥80mg/kg,或總劑量超過10g)治療,并有其他危險因素(如脫水、臥床等)的兒童。這一事件可以是有癥狀的或無癥狀的,會導致輸尿管梗阻和急性腎后性腎功能衰竭,但通常停藥后可以逆轉。
局部副作用 在極少的情況下,靜脈用藥后發生靜脈炎,可通過減慢靜脈注射速度(2-4分鐘)以減少此現象的發生。
檢查:Coombs試驗假陽性、半乳糖血癥檢測假陽性、非酶法測定葡萄糖假陽性。
【禁 忌】
過敏反應 已知對頭孢曲松、其任何輔料或其他任何頭孢菌素類藥物過敏者禁用頭孢曲松。既往對青霉素或其他β-內酰胺藥物過敏者發生對頭孢曲松過敏的風險增加(見【注意事項】)。
利多卡因 使用利多卡因溶液作為溶劑時,在肌肉注射頭孢曲松之前,必須排除利多卡因禁忌癥(參見【用法用量】)。參見利多卡因處方信息中的禁忌部分。含利多卡因的頭孢曲松溶液絕不能靜脈給藥。
早產兒 頭孢曲松禁用于矯正胎齡不足41周(孕周+實際年齡)的早產兒。
高膽紅素血癥新生兒 頭孢曲松不得用于新生兒高膽紅素血癥的治療。體外研究表明頭孢曲松能取代膽紅素與血清白蛋白結合,導致這些患者有可能發生膽紅素腦病的風險。
新生兒與含鈣靜脈滴注液 如果新生兒(≤28天)需要(或預期需要)使用含鈣的靜脈輸液,包括含鈣的靜脈滴注營養液治療如腸外營養,則禁止使用本品,因為有產生頭孢曲松-鈣沉淀物的風險(見【用法用量】及【藥物相互作用】)。
【注意事項】警惕
(1)本品應在專業的醫師指導下給藥,且醫院能對過敏反應采取急救措施。使用本品前,需詳細詢問病史,詢問要有針對性,包括青霉素類、頭孢菌素類、其他任何藥物過敏史、過敏體質(如是否有過敏性休克,過敏性哮喘,過敏性鼻炎,蕁麻疹等疾病病史)、家族史等。對于有過敏史特別是對藥物過敏史的患者應謹慎使用本品,關于藥物禁用請參見禁忌部分。有青霉素過敏性休克者不宜用頭孢菌素類藥物。用藥后,尤其首次用藥的30分鐘內留院嚴密觀察,如發現過敏性休克及時予以緊急處理。與其它頭孢菌素類抗生素藥物一樣,本品也有過敏反應致死的報道,即使患者過敏史不詳或曾經使用本品情況不詳。
(2)雙重感染:與其他抗菌藥物一樣,使用頭孢曲松后可能會發生對頭孢曲松不敏感微生物導致的雙重感染。
(3)溶血性貧血:在使用頭孢菌素類抗生素包括本品的患者中觀察到免疫介導的溶血性貧血。在成年人和兒童治療中都有嚴重溶血性貧血包括死亡的病例報道。如果患者在進行頭孢曲松治療時出現貧血,診斷時應考慮是否為頭孢菌素相關性貧血,并停用頭孢曲松直到確定病因。
(4)艱難梭菌性腹瀉:幾乎所有抗生素包括本品在使用時都有艱難梭菌性腹瀉(CDAD)的報道,根據病情嚴重程度可能為輕度腹瀉至致命性結腸炎。抗生素治療改變了結腸的正常菌群,而導致艱難梭菌的過度生長。艱難梭菌產生毒素A和B,毒素A和B促進CDAD的發生。艱難梭菌毒素高產菌株使發病率和死亡率升高,因為這類感染是抗生素難以治愈的,可能需要進行結腸切除。使用抗生素后出現腹瀉的所有患者都必須考慮CDAD的可能。需仔細詢問病史,因為據報道CDAD在抗生素治療兩個月后出現。如果疑似或確診為CDAD,可能需要停止正在使用的對艱難梭菌無作用的抗生素。根據臨床情況進行適當的平衡體液和電解質處理、蛋白質補充、針對艱難梭菌進行抗生素治療和外科手術評估。
(5)由于本品與其它頭孢菌素類藥物一樣會引起腹瀉、稀便、假膜性結腸炎等胃腸道系統不良反應,故有胃腸道疾病史者靜脈滴注本品時,應嚴密觀察病情變化。
(6)鈣-頭孢曲松沉淀:接受頭孢曲松治療,尤其是每日1g及以上劑量的患者超聲掃描中曾觀察到膽囊中有鈣-頭孢曲松沉淀物。兒童患者中出現這類沉淀物的概率似乎最高。在停止頭孢曲松治療后,沉淀物消失,且很少伴隨癥狀。對這些伴隨癥狀的患者,建議進行保守的非手術治療,并且應由臨床醫師根據個體收益-風險評估,考慮是否停用頭孢曲松。在已知的科學數據中,同時使用頭孢曲松和含鈣溶液或產品進行治療的患者中,除新生兒外尚無血管內沉淀作用的報道。但是,無論何種患者,頭孢曲松均不得與含鈣溶液混合或同時使用,即使通過不同的輸液管(見【禁忌】中關于新生兒的信息)。
(7)兒科:本品對新生兒、嬰兒及兒童的安全性和有效性已在【用法用量】一節中闡明。研究表明,同其他頭孢菌素類抗生素一樣,頭孢曲松也會從血清白蛋白中置換出膽紅素。本品不應用于可能發展為膽紅素腦病的新生兒(尤其是早產兒)(見【禁忌】)。
(8)血液監測:在長期治療中應定期進行全血細胞計數檢查。
(9)胰腺炎:使用頭孢曲松的患者中罕有胰腺炎病例(可能因膽管阻塞所致)的報道。其中多數患者有發生膽汁淤積或泥沙樣膽結石的危險因素,例如,之前接受高風險治療手段(大手術),嚴重疾病和全腸外營養,但頭孢曲松作為一個引起膽汁沉積的誘因或輔助因素不能排除。
藥物濫用以及依賴 不適用
駕駛和使用機器的能力 頭孢曲松治療期間,可能發生不良反應(例如頭暈),這些不良反應可能影響駕駛和使用機械的能力(參見【不良反應】)。患者駕駛或操作機械時應謹慎。
對診斷檢查的影響 接受頭孢曲松治療的患者中,Coombs試驗結果可能呈假陽性。與其它抗生素一樣,頭孢曲松也可能使半乳糖血癥檢測出現假陽性結果。同樣地,非酶法測定尿糖也可能出現假陽性結果。因此,在使用頭孢曲松期間,應以酶法測定尿糖。存在頭孢曲松的情況下,某些血糖檢測方法所獲得的血糖估計值可能會假性偏低。請參閱每種方法的使用說明。必要時應采用替代檢測方法。
【孕婦及哺乳期婦女用藥】孕婦和哺乳期婦女用藥須權衡利弊。頭孢曲松可通過胎盤屏障。尚未建立人類妊娠期的安全性。動物生殖研究未見胚胎毒性、胎兒毒性、致畸性或對雄性或雌性動物的生育力、分娩或圍產期以及出生后發育的不良反應。在靈長類的研究中未見胚胎毒性或致畸性。 頭孢曲松在人乳汁中有少量排出。哺乳期婦女用藥應當謹慎。
【兒童用藥】新生兒(出生體重小于2千克者)的用藥安全尚未確定。新生兒、嬰兒及兒童的給藥方法已在【用法用量】項中闡明。頭孢曲松不得用于治療患有高膽紅素血癥的新生兒。不可用于可能發展為膽紅素腦病的新生兒(尤其是早產 兒)。有黃疸的新生兒或有黃疸嚴重傾向的新生兒應慎用或避免使用本品。
【老年用藥】除非老年患者有重度腎功能和肝功能損傷時,老年患者應用頭孢曲松一般不需調整劑量。
【藥物相互作用】目前為止尚未發現以大劑量本品和強效利尿劑(如呋塞米)同時使用所導致的腎功能損傷。氨基糖苷類與頭孢菌素類合用時,有關氨基糖苷類的腎毒性可能增加的證據相互矛盾。在這些情況下,應嚴格遵循推薦的在臨床實踐中監測氨基糖苷類血藥濃度及腎功能。尚未發現頭孢曲松給藥后飲酒者發生類雙硫侖樣副作用。因為頭孢曲松不含N-甲基硫代四唑基團,而該基團可能會引起不耐乙醇和某些頭孢菌素類抗生素的出血性問題。
本品的清除不受丙磺舒的影響。一項體外試驗發現氯霉素與頭孢曲松合用會產生拮抗作用。
勿用含鈣的稀釋液如林格氏液或哈特曼氏液復溶本品或對復溶液進一步稀釋后進行靜脈給藥,因為這樣可能產生沉淀物。本品在同一根輸液管中與含鈣溶液混和時也可能產生頭孢曲松-鈣沉淀物。本品不應與含鈣的靜脈輸液包括通過Y形接口連續滴注的含鈣注射液(如胃腸外營養液)同時給藥。但是,除了新生兒,其他患者可進行本品和含鈣輸液的序貫給藥,在兩次輸液之間必須用相容液體充分沖洗輸液管。使用成年人血漿和新生兒臍帶血漿進行的體外研究證明,新生兒產生頭孢曲松-鈣沉淀物的風險更高(見【用法用量】和【禁忌】)。頭孢曲松與維生素K拮抗劑伴隨使用可能增加出血風險。在頭孢曲松治療期間及之后,應頻繁監測凝血功能指標,并相應調整抗凝劑劑量(見【不良反應】)。亦觀察到在靜脈給藥時,本品與安吖啶、萬古霉素和氟康唑具有化學不相容性。
【藥物過量】一旦發生藥物過量,血液透析或腹膜透析方法不會降低血藥濃度,亦無特殊解毒劑,應給予對癥治療。
【藥理毒理】 藥理作用
頭孢曲松是一種通過抑制細菌細胞壁合成而起作用的殺菌劑,對革蘭陽性菌和革蘭陰性菌中存在某些β-內酰胺酶(包括青霉素酶和頭孢菌素酶)情況下,仍具有活性。頭孢曲松耐藥機制主要為:β-內酰胺酶的水解、青霉素結合蛋白(PBPs)改變、膜通透性降低。與其他抗菌藥的相互作用:體外研究中,氯霉素和頭孢曲松聯用發生拮抗作用。體外及臨床感染中,頭孢曲松對以下絕大部分細菌有效(見【適應癥】)
革蘭陰性菌 醋酸鈣不動桿菌 產氣腸桿菌 陰溝腸桿菌 大腸埃希菌 流感嗜血桿菌 副流感嗜血桿菌 克雷伯氏桿菌 肺炎克雷伯桿菌 卡他莫拉菌 摩氏摩根菌 淋病奈瑟菌 腦膜炎奈瑟菌 變形桿菌 普通變形桿菌 銅綠假單胞菌 黏質沙雷菌
革蘭陽性菌 金黃色葡萄球菌 表皮葡萄球菌 肺炎鏈球菌 化膿性鏈球菌 草綠色鏈球菌
厭氧菌 脆弱擬桿菌屬 梭菌屬 消化鏈球菌屬
以下體外試驗數據可用,但其臨床意義未明。至少90%的下列微生物的體外最小抑菌濃度(MIC值)小于或等于頭孢曲松的敏感折點。然而,尚未在充分且良好對照的臨床試驗中獲得頭孢曲松治療這些微生物所致的臨床感染的有效性數據。
革蘭陰性菌 異型檸檬酸桿菌 弗氏檸檬酸桿菌 普羅威登斯菌屬 沙門菌屬(包括傷寒沙門菌) 志賀菌屬
革蘭陽性菌 無乳鏈球菌
厭氧菌 產黑色素卟啉單胞菌(擬桿菌) 二路普雷沃菌(擬桿菌屬)
敏感性試驗方法
在可能的情況下,臨床微生物實驗室應定期向醫生報告并提供其所在醫院所使用的抗菌藥物的相關體外藥敏性試驗結果,該結果可反映醫院及社區獲得性病原菌的藥敏特點。這些報告可幫助醫生在治療時選擇抗菌藥物。
稀釋法
采用定量方法測定最小抑菌濃度(MIC),這些最小抑菌濃度值可用于評估細菌對抗菌藥物的敏感程度。應采用標準測試方法(肉湯法或瓊脂法)來測定MIC,可根據表2中的標準對測定的MIC值進行解釋。
擴散法
采用對抑菌圈直徑進行測定的定量方法,同樣可對細菌對抗菌藥物的敏感性進行可重復性估計。抑菌圈的大小代表著細菌對抗菌藥物敏感程度,應采用標準測試方法進行測定。該法使用浸漬著30μg的頭孢曲松的紙片對細菌對抗菌藥物的敏感程度進行測定,紙片擴散情況依據表2中的標準進行判定。
厭氧法
對于厭氧菌,頭孢曲松藥敏試驗最小抑菌濃度(MIC)可通過標準瓊脂擴散法檢測。獲得的最小抑菌數值應該按表2中的標準進行判定。

a 對腸桿菌的敏感性解釋標準是基于每24小時靜注1g而得出的。對于中度敏感的分離株,正常腎功能的患者每24小時靜注2g。
b 對流感嗜血桿菌的敏感性解釋標準是基于正常腎功能的患者每24小時靜注2g而得出的。
c 缺乏耐藥菌除“敏感”結果之外的可用數據。如果分離株出現除“敏感”之外的MIC結果,則應送至參比實驗室進行額外測試。
d 紙片擴散法并不適用于測試肺炎鏈球菌對頭孢曲松的敏感性。然而,距苯唑西林抑菌圈直徑>20 mm的肺炎球菌對青霉素敏感(MIC≤0.06 mg/L)。不能僅依據苯唑西林抑菌圈直徑≤19 mm來判定肺炎鏈球菌對青霉素類(頭孢曲松)耐藥或中介。
葡萄球菌對頭孢曲松的敏感性可能從青霉素和頭孢西丁/苯唑西林的測試中推測得出。
藥敏報告“敏感”表示,如果當抗菌藥物在感染部位達到有效濃度,病原菌很大程度上會被抑制生長。報告“中介”表示,該結果是不明確的,如果微生物對可替換的臨床可行藥物不完全敏感,則應重復進行該測試。這個分類意味著在藥物生理性聚集的身體部位或在能使用高劑量的情況下可能的臨床適用性。這個分類還能提供一個緩沖空間來防止小的、不受控制的技術因素導致的解釋差異。報告“耐藥”表示,如果抗菌藥物在感染部位能達到有效濃度而很大程度不能抑制病原體的生長的,則應該采取其他的治療方法。
質量控制:
標準化藥敏試驗方法需采用實驗室對照品,以便監測和確保藥敏試驗中所用樣品和試劑以及試驗操作人員技術的準確度和精確度。應提供具有表3中MIC值的頭孢曲松粉末標準品。對于使用擴散法的30μg的頭孢曲松紙片的抑菌圈直徑標準應該符合表3的數值。

毒理研究
遺傳毒性 頭孢曲松Ames試驗、微核試驗、體外培養人淋巴細胞染色體畸變試驗結果均為陰性。
生殖毒性 大鼠靜脈給予頭孢曲松586mg/kg/天(約為臨床推薦劑量2g/天的20倍)對生育力未見影響。
生殖毒性試驗顯示,小鼠和大鼠在達人體常用劑量20倍時未見胚胎毒性、胎仔毒性和致畸作用。非人靈長類動物在約3倍人體劑量下未見胚胎毒性或致畸作用。
在I段(生育力和一般生殖毒性)和III段(圍產期毒性)研究中,大鼠靜脈注射頭孢曲松586mg/kg/天或更低劑量,在妊娠期和哺乳期未見對各項生殖指標(包括產后發育、功能行為和子代生育力)有明顯影響。
其它毒性 犬(100mg/kg/天,連續4周)和狒狒(≥335mg/kg/天,連續6周)給予頭孢曲松后在膽囊膽汁中發現有頭孢曲松砂粒樣鈣鹽積沉。這種現象在人發生率相對較低,因為頭孢曲松在人體的血漿半衰期更長,頭孢曲松鈣鹽在人膽囊膽汁中更易溶解,且人膽囊膽汁中的鈣含量相對較低。
【藥代動力學】 頭孢曲松的藥代動力學呈非線性,且若基于總藥物濃度,所有基本藥代動力學參數,除清除半衰期外,均呈劑量依賴,并低于劑量增加的比例。非線性是血漿蛋白結合飽和所致,因此觀察到血漿總頭孢曲松呈非線性,而未觀察到游離(未結合)頭孢曲松呈非線性。
吸收 以1克單劑量頭孢曲松肌肉注射后2~3小時達最高血藥濃度,大約為81毫克/升。肌肉注射后的血藥濃度-時間曲線下面積與同劑量的靜脈注射后相等,提示肌肉注射頭孢曲松的生物利用度可達100%。在靜脈推注500mg和1g頭孢曲松后,頭孢曲松平均血藥峰值分別約為120和200毫克/升。在靜脈滴注500mg、1g和2g頭孢曲松后,頭孢曲松血藥水平分別約為80、150和250毫克/升。在肌內注射后,頭孢曲松平均血藥峰值約為相等劑量的靜脈給藥后的一半。
分布 頭孢曲松的分布容積為7~12升。一次使用頭孢曲松1~2克后顯示出很好的組織與體液的穿透性。在肺臟、心臟、膽道、肝臟、扁桃體、中耳及鼻粘膜、骨骼、腦脊液、胸膜液、前列腺液及滑膜液等60多種組織和體液中藥物濃度保持高于感染致病菌的最低抑菌濃度達24小時以上。靜脈使用頭孢曲松后能迅速彌散至間質液中,并保持對敏感細菌的殺菌濃度達24小時。
蛋白結合性 頭孢曲松能可逆性地與白蛋白結合,在血藥濃度低于100毫克/升L時,血漿蛋白結合率為95%。結合具有飽和性,結合比例隨濃度升高而降低(血漿濃度為300毫克/升時可達85%)。
特殊組織的穿透性 頭孢曲松能透過腦脊膜。腦膜有炎癥時穿透率最高。據報道,細菌性腦膜炎患者的腦脊液中,頭孢曲松平均峰濃度達血漿水平的25%,而在腦脊膜無炎癥的患者中,其濃度為血漿水平的2%。靜脈注射4~6小時后腦脊液濃度到達峰值。頭孢曲松能透過胎盤,在乳汁中也有少量分泌。
代謝 頭孢曲松在體內不被分解代謝,僅被腸道內菌群轉變為無活性的代謝產物。
清除 血漿總清除率為10~22毫升/分鐘。腎臟清除率為5~12毫升/分鐘。50%~60%的頭孢曲松以原形分泌于尿液中,而40%~50%以原形分泌于膽汁中。成人的清除半衰期約為8小時。
特殊人群的藥代動力學
兒童:新生兒中的頭孢曲松半衰期延長。從出生到14天日齡,腎小球濾過率下降及蛋白結合率改變等因素可能進一步增加游離頭孢曲松水平。兒童期的半衰期低于新生兒或成人。新生兒、嬰兒和兒童的總頭孢曲松血漿清除率和分布容積大于成人。
老年人:75歲以上的老年人平均清除半衰期通常為年輕人的2~3倍。肝功能或腎功能損傷患者肝功能或腎功能不全的患者,頭孢曲松的藥代動力學僅有很少的改變,其清除半衰期僅有輕度增加(小于兩倍),即使是在重度腎功能損傷患者中亦然。腎功能損傷患者的半衰期小幅的延長可通過由蛋白結合率下降所致代償性非腎臟清除增加,及相應的總頭孢曲松的非腎臟清除相應增加來解釋。肝功能損傷患者,由于腎臟清除率代償性增加,頭孢曲松的清除半衰期未延長。另一個原因為血漿游離頭孢曲松增加,從而引起所觀察到的總藥物清除率反常增加,以及分布容積與總清除率的平行升高。
【貯 藏】遮光,密閉,不超過30℃保存。
【包 裝】中硼硅玻璃注射劑瓶、注射用無菌粉末用局部覆聚四氟乙烯膜氯化丁基橡膠塞和抗生素瓶用鋁塑組合蓋包裝。(1)1瓶/盒,(2)10瓶/盒。
【有 效 期】24個月
【執行標準】國家藥品監督管理局標準YBH02462021
【批準文號】國藥準字H20043827(0.5g) 國藥準字H20043825(1.0g)
【藥品上市許可持有人】
企業名稱:廣東金城金素制藥有限公司
注冊地址:廣東省中山市火炬開發區神農路10號
【生產企業】
企業名稱:廣東金城金素制藥有限公司
生產地址:廣東省中山市火炬開發區神農路10號
郵政編碼:528437
服務熱線:400-9988-970
電話號碼:(0760)22830525(總機)
傳真號碼:(0760)22578279
網 址:http://www.gdjcjs.com




魯公網安備 37030202000396號 