Products
- Terminal preparation
- Pharmaceuticals
- CMO CDMO
- Biopharmaceuticals
- Animal nutrition and health care
- API
- Medical intermediate
- Fine chemicals
jcpc@jinchengpharm.com
Products
Location:Home - Products
核準日期:2007年02月09日
修訂日期:2010年09月30日
修訂日期:2015年09月08日
修訂日期:2015年11月30日
修訂日期:2016年10月09日
注射用頭孢唑林鈉說明書
請仔細閱讀說明書并在醫師指導下使用。
對頭孢菌素過敏者及有青霉素過敏性休克或即刻反應史者禁用本品。
【藥品名稱】
通用名稱:注射用頭孢唑林鈉
英文名稱:Cefazolin Sodium for Injection
漢語拼音:Zhusheyong Toubaozuolinna
【成份】
本品主要成份為頭孢唑林鈉。
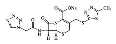
Chemical Name: (6R,7R)-3-[[(5-甲基-1,3,4-噻二唑-2-基)硫基]甲基]-7-[(1H-四氮唑-1-基)乙酰氨基]-8-氧代-5-硫雜-1-氮雜雙環[4.2.0]辛-2-烯-2-甲酸鈉鹽。
化學結構式:
分子式:C14H13N8NaO4S3
分子量:476.50
【性狀】 本品為白色或類白色的粉末或結晶性粉末;無臭。
【適應癥】
適用于治療敏感細菌所致的中耳炎、支氣管炎、肺炎等呼吸道感染、尿路感染、皮膚軟組織感染、骨和關節感染、敗血癥、感染性心內膜炎、肝膽系統感染及眼、耳、鼻、喉科等感染。本品也可作為外科手術前的預防用藥。本品不宜用于中樞神經系統感染。對慢性尿路感染,尤其伴有尿路解剖異常者的療效較差。本品不宜用于治療淋病和梅毒。
【規格】 按C14H14N8O4S3 計算0.5g
【用法用量】
成人常用劑量:靜脈緩慢推注、靜脈滴注或肌內注射,一次0.5~1g,一日2~4次,嚴重感染可增加至一日6g,分2~4次靜脈給予。兒童常用劑量:一日50~100mg/kg,分2~3次靜脈緩慢推注,靜脈滴注或肌內注射。腎功能減退者的肌酐清除率大于50ml/分時,仍可按正常劑量給藥。肌酐清除率為20~50ml/分時,每8小時0.5g;肌酐清除率為11~34ml/分時,每12小時0.25g;肌酐清除率小于10ml/分時,每18~24小時0.25g。所有不同程度腎功能減退者的首次劑量為0.5g。小兒腎功能減退者應用頭孢唑林時,先給予12.5mg/kg,繼以維持量,肌酐清除率在70ml/分以上時,仍可按正常劑量給予;肌酐清除率為40~70ml/分時,每12小時按體重12.5~30mg/kg;肌酐清除率為20~40ml/分時,每12小時按體重3.1~12.5mg/kg;肌酐清除率為5~20ml/分時,每24小時按體重2.5~10mg/kg。
本品用于預防外科手術后感染時,一般為術前0.5~1小時肌注或靜脈給藥1g,手術時間超過6小時者術中加用0.5~1g,術后每6~8小時0.5~1g,至手術后24小時止。
【不良反應】
1、靜脈注射發生的血栓性靜脈炎和肌內注射區疼痛均較頭孢噻吩少而輕。
2、藥疹發生率為1.1%,嗜酸粒細胞增高的發生率為1.7%,偶有藥物熱。
3、個別病人可出現暫時性血清氨基轉移酶、堿性磷酸酶升高。
4、腎功能減退病人應用高劑量(每日12g)的本品時可出現腦病反應。
5、白念珠菌二重感染偶見。
【禁忌】
對頭孢菌素過敏者及有青霉素過敏性休克或即刻反應史者禁用本品。
【注意事項】
1、對青霉素過敏或過敏體質者慎用。
2、約1%的用藥患者可出現直接和間接Coombs試驗陽性及尿糖假陽性反應(硫酸銅法)。
【孕婦及哺乳期婦女用藥】
本品乳汁中含量低,但哺乳期婦女用藥時仍宜暫停哺乳。
【兒童用藥】
兒童常用劑量:一日50~100mg/kg,分2~3次靜脈緩慢推注,靜脈滴注或肌內注射。早產兒及1個月以下的新生兒不推薦應用本品。
【老年用藥】
本品在老年人中T1/2較年輕人明顯延長,應按腎功能適當減量或延長給藥間期。
【藥物相互作用】
1、本品與下列藥物有配伍禁忌,不可同瓶滴注:硫酸阿米卡星、硫酸卡那霉素、鹽酸金霉素、鹽酸土霉素、鹽酸四環素、葡萄糖酸紅霉素、硫酸多黏菌素B、黏菌素甲磺酸鈉,葡萄糖酸鈣。
2、本品與慶大霉素或阿米卡星聯合應用,在體外能增強抗菌作用。
3、本品與強利尿藥合用有增加腎毒性的可能,與氨基糖苷抗生素合用可能增加后者的腎毒性。
4、丙磺舒可使本品血藥濃度提高,血半衰期延長。
【藥物過量】
本品無特效拮抗藥,藥物過量時主要給予對癥治療和大量飲水及補液等。
【藥理毒理】
頭孢唑林為第一代頭孢菌素,抗菌譜廣。除腸球菌屬、耐甲氧西林葡萄球菌屬外,本品對其他革蘭陽性球菌均有良好抗菌活性,肺炎鏈球菌和溶血性鏈球菌對本品高度敏感。白喉桿菌、炭疽桿菌、李斯特菌和梭狀芽胞桿菌對本品也甚敏感。本品對部分大腸埃希菌、奇異變形桿菌和肺炎克雷伯菌具有良好抗菌活性,但對金葡菌的抗菌作用較差。傷寒桿菌、志賀菌屬和奈瑟菌屬對本品敏感,其他腸桿菌科細菌、不動桿菌和銅綠假單胞菌耐藥。產酶淋球菌對本品耐藥;流感嗜血桿菌僅中度敏感。革蘭陽性厭氧菌和某些革蘭陰性厭氧菌對本品多敏感。脆弱擬桿菌耐藥。
【藥代動力學】
肌內注射本品500mg后,血藥峰濃度(Cmax)經1~2小時達38mg/L(32~42mg/L),6小時血藥濃度尚可測得7mg/L。20分鐘內靜脈滴注本品0.5g,血藥峰濃度為118mg/L,有效濃度維持8小時。本品難以透過血-腦脊液屏障,腦脊液中不能測出藥物濃度。頭孢唑林在胸水、腹水、心包液和滑囊液中可達較高濃度。炎癥滲出液中的藥物濃度基本與血清濃度相等;膽汁中濃度等于或略超過同期血藥濃度。胎兒血藥濃度為母體血藥濃度的70%~90%,乳汁中含量低。本品蛋白結合率為74%~86%。正常成人的血消除半衰期(t1/2β)為1.5~2小時,老年人中可延長至2.5小時。腎衰竭患者的t1/2β可延長,內生肌酐清除率為12~17ml/min和低于5ml/min時分別為12小時和57小時。出生1周內新生兒的t1/2β為4.5~5小時。本品在體內不代謝;原形藥通過腎小球濾過,部分通過腎小管分泌自尿中排出。24小時內可排出給藥量的80%~90%。丙磺舒可使血藥濃度約提高30%,有效血藥濃度時間延長。血液透析6小時后血藥濃度減少40%~50%;腹膜透析一般不能清除本品。
【貯藏】 密閉,在涼暗(避光并不超過20℃)干燥處保存。
【包裝】 注射劑瓶+注射用無菌粉末用鹵化丁基橡膠塞裝,⑴每盒1瓶 ⑵每盒10瓶
【有效期】 18個月
【執行標準】 《中華人民共和國藥典》2015年版二部
【批準文號】 國藥準字H44022509
【生產企業】
企業名稱:廣東金城金素制藥有限公司
生產地址:廣東省中山市小欖鎮紅山路63號
郵政編碼:528415
電話號碼:(0760)22830525(總機)
傳真號碼:(0760)22578279
網 址:Http//:www.gdjcjs.com
[原料供應商]名稱:ACS Dobfar S.p.A
地址:Viale Addetta 6/8/10-20067 Tribiano(Milan)



