Products
- Terminal preparation
- Pharmaceuticals
- CMO CDMO
- Biopharmaceuticals
- Animal nutrition and health care
- API
- Medical intermediate
- Fine chemicals
jcpc@jinchengpharm.com
Products
Location:Home - Products
核準日期:2007年02月09日
修訂日期:2010年09月30日
修訂日期:2012年10月01日
修訂日期:2015年09月08日
修訂日期:2015年11月30日
修訂日期:2016年10月09日
注射用頭孢噻肟鈉說明書
請仔細閱讀說明書并在醫師指導下使用。
對頭孢菌素過敏者及有青霉素過敏性休克或即刻反應史者禁用本品。
【藥品名稱】
通用名稱:注射用頭孢噻肟鈉
英文名稱:Cefotaxime Sodium for Injection
漢語拼音:Zhusheyong Toubaosaiwona
【成份】
本品主要成份為頭孢噻肟鈉。
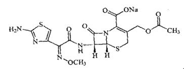
Chemical Name:(6R,7R)-3-[(乙酰氧基)甲基]-7-[2-(2-氨基噻唑-4-基)-2-(甲氧亞氨基)乙酰氨基]-8-氧代-5-硫雜-1-氮雜雙環[4.2.0]辛-2-烯-2-甲酸鈉鹽。
化學結構式:
分子式:C16H16N5NaO7S2
分子量:477.45
【性狀】本品為白色至微黃色結晶性或粉末。
【適應癥】
適用于敏感細菌所致的肺炎及其他下呼吸道感染、尿路感染、腦膜炎、敗血癥、腹腔感染、盆腔感染、皮膚軟組織感染、生殖道感染、骨和關節感染等。頭孢噻肟可以作為小兒腦膜炎的選用藥物。
【規格】 按C16H17N5O7S2計 ⑴0.5g ⑵1.0g ⑶2.0g。
【用法用量】
成人一日2~6g,分2~3次靜脈注射或靜脈滴注;嚴重感染者每6~8小時2~3g,一日最高劑量不超過12g。治療無并發癥的肺炎鏈球菌肺炎或急性尿路感染,每12小時1g。
新生兒日齡小于等于7日者每12小時50mg/kg,出生大于7日者,每8小時50mg/kg。治療腦膜炎患者劑量可增至每6小時75mg/kg,均以靜脈給藥。
嚴重腎功能減退病人應用本品時須適當減量。血清肌酐值超過424µmol/L(4.8mg)或肌酐清除率低于20ml/分時,本品的維持量應減半;血清肌酐超過751µmol/L(8.5mg)時,維持量為正常量的1/4。需血液透析者一日0.5~2g。但在透析后應加用1次劑量。
【不良反應】
不良反應發生率低,約3%~5%。
1、有皮疹和藥物熱、靜脈炎、腹瀉、惡心、嘔吐、食欲不振等。
2、堿性磷酸酶或血清氨基轉移酶輕度升高、暫時性血尿素氮和肌酐升高等。
3、白細胞減少、嗜酸性粒細胞增多或血小板減少少見。
4、偶見頭痛、麻木、呼吸困難和面部潮紅。
5、極少數病人可發生粘膜念珠菌病。
【禁忌】對頭孢菌素過敏者及有青霉素過敏性休克或即刻反應史者禁用本品。
【注意事項】
1、用藥前需進行過敏試驗。
2、交叉過敏反應:對一種頭孢菌素或頭霉素過敏者對其他頭孢菌素類或頭霉素也可能過敏。對青霉素或青霉胺過敏者也可能對本品過敏。
3、對診斷的干擾:應用本品的病人抗球蛋白(Coombs)試驗可出現陽性;孕婦產前應用本品,此反應可出現于新生兒。用硫酸銅法測定尿糖可呈假陽性。血清堿性磷酸酶、血尿素氮、丙氨酸氨基轉移酶、門冬氨酸氨基轉移酶或血清乳酸脫氫酶值可增高。
4、頭孢噻肟鈉1.05g約相當于1g頭孢噻肟,每1g頭孢噻肟鈉含鈉量約為2.2mmol(51mg)。1g頭孢噻肟溶于14ml滅菌注射用水形成等滲溶液。
5、配制肌內注射液時,0.5g、1.0g或2.0g的頭孢噻肟分別加入2ml、3ml或5ml滅菌注射用水。供靜脈注射的溶液,加至少10~20ml滅菌注射用水于上述不同量的頭孢噻肟內,于5~10分鐘內徐緩注入。靜脈滴注時,將靜脈注射液再用適當溶劑稀釋至100~500ml。肌內注射劑量超過2g時,應分不同部位注射。
6、腎功能減退者應在減少劑量情況下慎用;有胃腸道疾病或腎功能減退者慎用。
7、本品與氨基糖苷類不可同瓶滴注。
【孕婦及哺乳期婦女用藥】
本品可經乳汁排出,哺乳期婦女應用本品時雖無發生問題的報告,但應用本品時宜暫停哺乳。本品可透過血胎盤屏障進入胎兒血循環,孕婦應限用于有確切適應癥的患者。
【兒童用藥】 本品為小兒腦膜炎的選用藥物。新生兒日齡小于等于7日者每12小時50mg/kg,出生大于7日者,每8小時50mg/kg。治療腦膜炎患者劑量可增至每6小時75mg/kg,均以靜脈給藥。嬰幼兒不宜作肌內注射。
【老年用藥】老年患者用藥根據腎功能適當減量。
【藥物相互作用】
1、與慶大霉素或妥布霉素合用對銅綠假單胞菌均有協同作用;與阿米卡星合用對大腸桿菌、肺炎克雷伯菌和銅綠假單胞菌有協同作用。
2、與氨基糖苷類抗生素聯合應用時,用藥期間應隨訪腎功能。
3、大劑量頭孢噻肟與強利尿藥聯合應用時,應注意腎功能變化。
4、頭孢噻肟可用氯化鈉注射液或葡萄糖液稀釋,但不能與碳酸氫鈉液混合。
5、與阿洛西林或美洛西林等合用,可使本品的總清除率降低,如兩者合用需適當減低劑量。
【藥物過量】
β-內酰胺類過量可能會出現可逆的代謝性腦病(神經紊亂、異常動作、驚厥發作)。本品無特效拮抗藥,藥物過量時主要給予對癥治療和大量飲水及補液等。注意本品對肝腎功能造成的影響。
【藥理毒理】
頭孢噻肟為第三代頭孢菌素,抗菌譜廣,對大腸埃希菌、奇異變形桿菌、克雷伯菌屬和沙門菌屬等腸桿菌科細菌等革蘭陰性菌有強大活性。對普通變形桿菌和枸櫞酸桿菌屬亦有良好作用。陰溝腸桿菌、產氣腸桿菌對本品比較耐藥。本品對銅綠假單胞菌和產堿桿菌無抗菌活性。頭孢噻肟對流感桿菌、淋病奈瑟菌(包括產β-內酰胺酶株)、腦膜炎奈瑟菌和卡他莫拉菌等均有強大作用。本品對金黃色葡萄球菌的抗菌活性較差,對溶血性鏈球菌、肺炎鏈球菌等革蘭陽性球菌的活性強,腸球菌屬對本品耐藥。
【藥代動力學】
肌內注射本品0.5g或1.0g后,0.5小時達血藥峰濃度(Cmax),分別為12mg/L和25mg/L,8小時后血中仍可測出有效濃度。于5分鐘內靜脈注射本品1g或2g,即刻血藥峰濃度分別為102mg/L和215mg/L,4小時后2g組尚可測得3.3mg/L。30分鐘內靜脈滴注1g后的即刻血藥濃度為41mg/L,4小時的血藥濃度為1.5mg/L。頭孢噻肟廣泛分布于全身各種組織和體液中。正常腦脊液中的藥物濃度很低;腦膜炎患者應用本品后,腦脊液中可達有效濃度。支氣管分泌物、中耳溢液、胸腔積液、膿胸膿液、腹水、膽囊壁、膽汁、骨組織中亦均可達有效濃度。本品可透過血-胎盤屏障進入胎兒血循環,少量亦可進入乳汁。白內障病人靜脈注射2g后,前房液中藥物濃度為0.3~2.3mg/L。蛋白結合率30%~50%。1/3~1/2的藥物在體內代謝成為去乙酰頭孢噻肟(抗菌活性為頭孢噻肟的1/10)和其他無活性的代謝物。本品血消除半衰期(t1/2β)為1.5小時,老年人的t1/2β(2~2.5小時)較年輕人為長,腎功能不全者(t1/2β)可延長為14.6小時。約80%(74%~88%)的給藥量經腎排泄,其中約50%~60%為原形藥,10%~20%為去乙酰頭孢噻肟,頭孢噻肟經膽汁排泄的量甚少,約為給藥量的0.01%~0.1%。丙磺舒可使頭孢噻肟的腎清除減少5%,t1/2β延長45%。血液透析能將62.3%的藥物自體內清除。腹膜透析對藥物的清除量很少。
【貯藏】 密閉,在涼暗(避光并不超過20℃)干燥處保存。
【包裝】 注射劑瓶+注射用無菌粉末用鹵化丁基橡膠塞裝,⑴每盒1瓶 ⑵每盒10瓶
【有效期】 24個月
【執行標準】 《中華人民共和國藥典》2015年版二部。
【批準文號】 ⑴ 國藥準字H20043843(0.5g)
⑵ 國藥準字H20043774(1.0g)
⑶ 國藥準字H20044006(2.0g)
【生產企業】
企業名稱:廣東金城金素制藥有限公司
生產地址:廣東省中山市小欖鎮紅山路63號
郵政編碼:528415
電話號碼:(0760)22830525(總機)
傳真號碼:(0760)22578279
網 址:Http//:www.gdjcjs.com



